量化交易系统

MT5-IntradayTrader

  • 型号:
Main Image

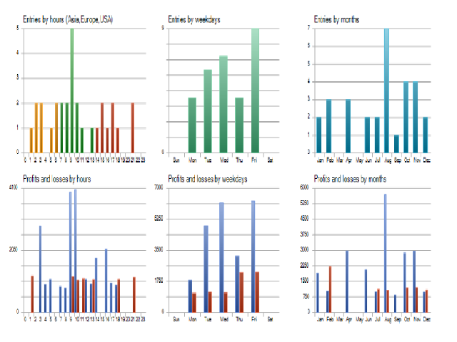
This Expert is developed to optimize parameters to trade intraday trending markets.

Simply use optimization to find the proper inputs for specific symbol you are interested in.

This is a light load EA from processing point of view. You can easily run this on several charts simultaneously. Make sure to set a different magic number for each.

note: The screenshot shows a 12% profitability in EURUSD for a period of a year and 2% draw-down using optimization to find best inputs.