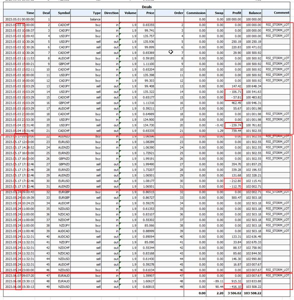
量化交易系统

MT5-RSI Storm

  • 型号:
Main Image
========= 算法 RSI 风暴 =========

--- FOR GAO - 对于 GAO - 遗传算法优化设置文件,您可以在 EA 配置(.set 配置文件)上加载该文件,DM 我,或获取 YT 视频上的链接。

========= 描述 =========

该 EA 的范围是提供一个体面的进入和退出策略,以及一种有趣的执行方法,允许在给定时间点瞄准总 DD 和每日 DD,这样您的 DD 就不会受到影响。 对于道具公司来说很可爱。
该算法属于 GAO(遗传算法优化),我们仅使用最佳设置,因此在 EA 上进行了硬编码),因此 GAO 仅针对周三和上半年。
只需将所有货币对的手数大小更改为 1.9 至 10.0 手(EURUSD、EURGBP、EURCAD、EURAUD、EURCHF、EURNZD、USDJPY、USDCAD、CADCHF、CADJPY、GBPNZD、GBPUSD、GBPCHF、GBPAUD、GBPCAD、GBPJPY、AUDCAD、AUDNZD、 AUDCHF、AUDJPY、NZDUSD、NZDCAD、NZDCHF、NZDJPY)
如果开仓并影响利润,(对冲退出策略)将以初始交易两倍手数开立反挂单,以对抗该交易,并仍以指定的利润额存在。


入场策略 - RSI / MACD 相关性。

退出策略 - TP、追踪止损、已达到的每日利润值、已达到的全球利润值、作为故障保护的对冲和全局最大 DD、每日最大 DD 故障转移自动触发终止开关始终支持您的所有权益,以防市场崩溃,只需设置您的最大 DD % 这将是触发点。

========= EA 输入规格 =========

========= 时间框架 =========

- 时间范围 - M1 到 H4 -(默认 GAO 值 - H1)

我们进行了 GAO - 遗传算法优化,发现在 H1 上它是过去 5 年来最好的性能 TF(时间范围)交叉,但我们为您提供自由并选择不对其进行硬编码,以便您可以自由选择。



========= 仪器配置 ========

- 符号 - EURUSD、EURGBP、EURCAD、EURAUD、EURCHF、EURNZD、USDJPY、USDCAD、CADCHF、CADJPY、GBPNZD、GBPUSD、GBPCHF、GBPAUD、GBPCAD、GBPJPY、AUDCAD、AUDNZD、AUDCHF、AUDJPY、NZDUSD、NZDCAD、NZDCHF、NZDJPY

(默认 GAO 值 - 以上所有)

您可以仅使用 1 个、3 个或全部,因为 EA 会自动为您映射 MACD 和 RSI 值之间的交叉,这是此 EA 的主要目的,因为人类不可能同时密切关注所有货币对 该 EA 会在某个时间点为您执行此操作,并在触发条件时进入所有货币对的仓位。



========= 止盈和止损配置 ========

TP_SL_ENABLED - 假|| true(默认 GAO 值 - false)



======大量配置=====

- 很多 - 0.01 || 5000 - (默认 GAO 值 - 1.9)

您可以根据您的余额使用任何手数,在 GAO 上,最佳输出结果是 1.9 手,但我们去年对所有货币对进行了广泛的手动交叉测试,从 1.9 手到 10 手都效果很好。



====== 对冲配置 =====

HEDGE_MULTIPLIER - 0.1 || 500.0 - (默认 GAO 值 - 2.0)

对冲乘数是对冲条目应该用来对冲交易的乘数因子,它基于进展不佳的交易的手数价值。 例如,一笔交易采用 DD 并以 0.05 手开仓,此设置将配置对冲乘数将以 x2 进入交易(是尝试对冲的初始开仓头寸的两倍(默认配置),因此将打开对冲 0.10 手。

HEDGE_DISTANCE - 1 || 500 - (默认 GAO 值 - 150)

对冲距离是距订单开始的距离(以点为单位)。



===== 最大回撤终止开关配置 =====

最大回撤停止(如果 = true 则启用)- false || true - (默认 GAO 值 - false)

如果为 true,则 EA 能够持续监控您的 DD。

停止所有交易的最大提款%(总余额的%)- 0.1 || 100(总权益的% = 余额 - 浮动) - (默认 GAO 值 - 0.5)

如果上述设置为 true,则此值会触发关闭所有交易并停止交易,直至第二天午夜经纪时间 23:59 小时,如果您不在 00:00 经纪时间采取行动,交易将恢复。



=====利润配置=====

您想要平仓的金额 - 1 || 500000 - (默认 GAO 值 - 1.9 手为 500,10 手为 1000)

关闭交易的价值定义。 货币价值。 例如,您正在使用 5 手,并且您希望以 5,000 的价格平仓,如场景 1 所示,或者您有 20 手,您希望在某个仓位中获得相同的 5,000 手,因此第二种情况更有可能产生与其相同的结果。 更大的手数更容易达到这个值,这意味着 5 手达到 5,000 这并非不可能,但可能性较小且风险较高。

定义每日最大利润 - 如果达到则第二天恢复 - 1 || 10000 - (默认 GAO 值 - 24000.0)
该值定义了您设定的每日停止交易目标,假设您全天有 1 次胜利和 1 次对冲盈亏平衡,总计 1000 价值,即 1.000 美元,因此,如果达到此值(价值不包括佣金),它将停止交易 当天,并将于经纪时间 00:00 恢复。

定义最大总利润目标,如果达到则停止 - 1 || 500000 - (默认 GAO 值