量化交易系统

MT5-Mirai WDO B3

  • 型号:
Main Image

Mirai WDO B3


Professional, 100% automated MINI DOLLAR FUTURE (WDO) expert system for MetaTrader 5 platform.
Brazilian Stock Exchange Market (B3).
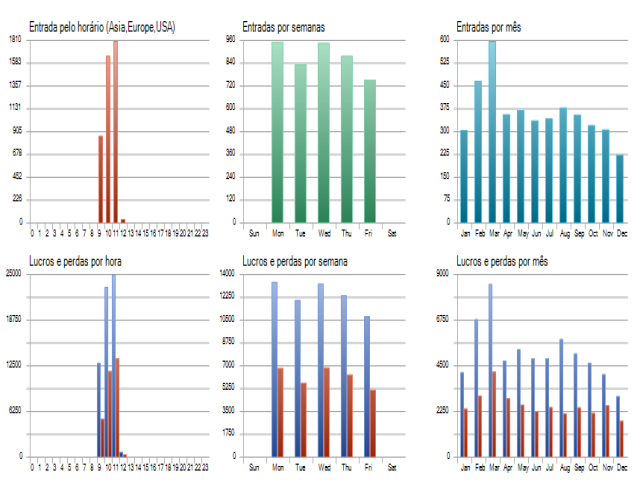
Scalping strategy (Micro Frequency).
Types of orders for entries and exits:
“Limit” entry orders (preached in the order book).
Gain “Limit” exit orders (Holded in the order book).
Exit Orders Loss “Stop” (“Trigger for Closing”).
Redundancy of orders as security.
“OCO” orders (Order-Cancel-Order).
Available settings:
Daily profit and loss management.
SetUp Variations
Variations of PayOff trades.
Operating hours.
License notes:
The license is limited to a maximum of 10 mini contracts per operation.
Low latency required (20 milliseconds max, use VPS).



ATTENTION:
This algorithm makes advanced calculations using data from MINI DOLAR and DOLAR “FULL”.
Do you trade MINI DOLLAR FUTURE (WDO) on the Brazilian Stock Exchange (B3)? Yes.
Do you trade DOLLAR FUTURO (DOL) on the Brazilian Stock Exchange (B3)? Yes, but not yet tested on a REAL account.
Do you trade MINI DOLLAR FUTURE in the FOREX market? No.
Do you trade any other asset in the FOREX market? No.
Phrases:
"Reasonable techniques, great discipline and a good plan. It's good business!"
"Excellent techniques, poor discipline and no plan. Bad business!"
"A Robot is 100% disciplined and free of emotions, but there are humans who control them."
"Money is always changing hands. When it's in yours, put it in your pocket."

Use Daily Win and Loss Limits.


Useful links:
Use VPS:
Strategies tester:
Download the DEMO version, test and evaluate.